Go 指针
Go中的指针
翻译自
https://go101.org/article/pointer.html
尽管Go吸收了很多其他语言的特性,但Go总体来说是一个C家族语言。其中一个证据就是Go也支持指针。Go指针和C指针在许多方面非常相似,但其中也有一些不同。本文将会列举Go指针的概念和细节。
Memory Address 内存地址
内存地址指的是整个系统管理(通常由操作系统管理)的内存空间中的偏移量(byte的个数)。
通常,内存地址被存储成一个无符号(整型)字。字长在32位机器上是4字节,在64位机器上是8字节。所以理论最大寻址范围,在32位机器上是2^32,也就是4GB。在64位机器上是2^64,也就是16EB(1EB=1024PB,1PB=1024TB,1TB=1024GB)。
内存地址通常用Hex表达模式书写,如0x1234CDEF
Value Address 值地址
值的地址代表这个值在内存段中的起始地址
什么是指针?
指针是Go的一种类型。指针用来存储内存地址。跟C语言不同,为了安全的原因,Go指针上有一些限制。
Go指针类型和值
在Go中,未定义的指针类型可以被写成*T,T可以是任意类型。T是*T的基础类型。
我们也可以自定义指针类型,通常由于未定义指针类型拥有更好的可读性,不推荐使用自定义指针类型。
如果一个定义的指针类型的底层类型(underlying type)是*T,那么该指针的基础类型是T。这个基础类型相同的指针也是同一种类型。样例
1 | // 未定义的指针类型,基础类型是int |
指针的零值是nil,不存储任何地址。
基础类型为T的指针仅能存储T类型值的地址
如何获得指针值、什么是可寻址值
有两种方式可用于获取非nil的指针值
- go内置的
new函数,可以分配任何类型的内存。new(T)在内存中分配一个T值的空间,然后返回T值的地址。分配的值是T
类型的零值。返回的地址就是一个T类型的指针 - 我们还可以直接获取可寻址值的地址。对于一个可寻址类型
T的值t,我们可以使用&t来获取t的地址,`&操作符用来获取值地址。
通常上来说,可寻址值意味着该值存放在内存中的某处。现在,我们只需要知道任何变量都是可寻址的,同时常数、函数调用和显示转换的结果是不可寻址的。变量声明的时候,Go运行时将会为这个变量分配一片内存,这片内存的开始地址就是这个变量的地址。
Pointer Derefernece 指针解引用
对于一个基础类型为T的指针类型p,你如何获取指针中存储的值(或者说,被指针指向的值)?只需要使用表达式*p,*
被称为解引用操作符。指针的解引用是取地址的逆运算。*p的返回值是T类型,也就是p的基础类型。
对nil指针进行解引用会导致运行时异常。
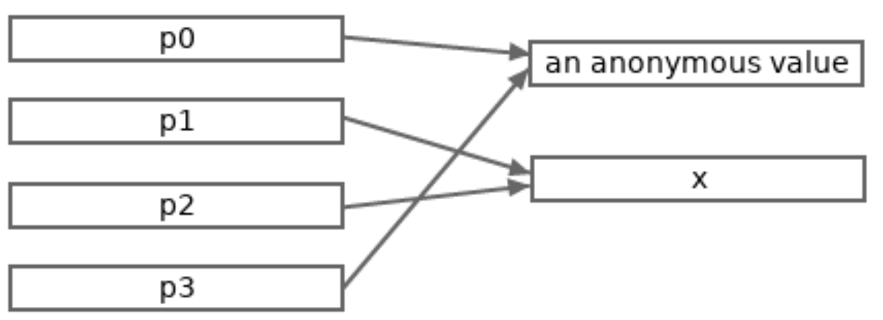
这个程序展示了地址获取和解引用的例子:
1 | package main |
下图揭示了上面程序存储的值间关系

为什么我们需要指针
让我们先来看一个样例程序
1 | package main |
上例中的double函数预期对输入值进行双倍处理。但是它失败了。为什么?因为所有值的分配,包括函数参数的传递,都是值拷贝。double
函数操作的x只是a变量的拷贝,而不是a变量。
修复上例的一种方式是让double函数返回一个新值。但这并不是所有场景都适用。下例展示了另一种使用指针的方案
1 | package main |
我们可以发现,通过将参数改为指针类型,传递的指针参数&a和它的拷贝x都指向相同的值,所以在*x上进行的修改,在a
上也体现了出来。同时,因为参数传递都是值拷贝,上面将x赋值为nil,在p上也不生效。
简而言之,指针提供了操作值的间接方式。大部分语言没有指针的概念。然而,指针的概念只是隐藏在了语言的其他概念中。
返回局部变量指针在Go是安全的
和C语言不通,Go支持垃圾回收,所以返回局部变量的指针在Go中是绝对安全的
1 | func newInt() *int { |
Go指针的限制
为了安全原因,相比C语言来说,Go在指针上做了一些限制。通过这些限制,Go保持了指针带来的收益,并且避免了危险的指针使用。
Go指针不支持算术操作
在Go中,指针不能进行算术运算。对于指针p,p++和p-2都是非法的。
如果指针p指向一个数值,编译器会将*p++识别为一个合法的语句,并解析为(*p)++。换句话说,*p操作的优先级高于++、--操作符。样例
1 | package main |
指针值不能转换为任意的指针类型
在Go中,T1的指针值可以被隐式或是显示地转换为T2,需要满足如下两个条件
T1和T2的底层类型相同(忽略结构体Tag)。特别地,如果T1和T2都是未定义类型并且它们的底层类型相同(考虑结构体Tag),可以进行隐式转换。T1和T2都是未定义指针类型,并且它们的基础类型的底层类型相同(忽略结构体Tag)
举个例子,有如下类型
1 | type MyInt int64 |
有如下事实
*int64类型的值可以被隐式转换为Ta类型,反过来也是可以的。因为它们的底层类型都是*int64*MyInt类型的值可以被隐式转换为Tb类型,反过来也行。因为它们的底层类型都是*MyInt*MyInt类型的值可以被限制转换为*int64,反之亦然。因为它们的基础类型的底层类型都是int64- 即使是显示转换,
Ta类型的值也不能直接转换为Tb。因为Ta和底层类型和Tb不同,并且都是定义指针类型。不过可以进行连续几次转换,将Ta类型的pa间接转化为Tb类型。 先将pa转化为*int64类型(因为基础类型的底层类型都是int64),再将*int64类型转换为*MyInt类型,再将*MyInt类型转化为*Tb类型。Tb((*MyInt)((*int64)(pa)))
上面的值通过任何安全的手段,都不能转化为类型*uint64
任意两个指针的值不能比较
在Go中,指针可以通过==和!=符号比较。如果满足如下任意一个条件,那么两个Go指针的值可以进行比较
- 两个Go指针类型一致
- 指针值可以隐式转换为另一类型
- 两个指针中的一个且仅一个用无类型 nil 标识符表示。
1 | package main |
指针值不能赋值给其他指针类型
指针值互相赋值的条件和比较的条件一样
有手段打破Go对指针的限制
unsafe 标准包提供的机制(特别是 unsafe.Pointer 类型)可以用来打破 Go 中对指针的限制。 unsafe.Pointer 类型类似于 C 中的
void*。一般不推荐使用unsafe。