Gorilla论文笔记
用了几个小时读完了Gorilla这篇经典的 时序数据库论文
,prometheus的时序数据库在很多地方都参考了这篇论文。以此文总结一下读后感,非论文翻译。截图基本都出自于论文。本论文可以解答如下的普罗问题
为什么普罗不支持字符串类型,只支持double作为监控值
为了压缩数据,普罗使用了高效的用于double的压缩算法。
为什么普罗的默认的落盘间隔是2个小时
根据这篇论文,2个小时或以上的block的压缩比更小
普罗data盘里的文件都是用来干啥的?
有索引文件、数据文件、恢复日志等
顺带一提,Gorilla是大猩猩的意思,也是银魂中近藤勋的绰号。
Facebook因为从HBase读取时间序列太慢,再加上扩展性已经无法满足需求。Facebook对时延迟要求如此之低,Facebook否决了所有依赖磁盘做数据存储查询的方案,希望数据查询从内存返回。最终从论文看来,查询比HBase快了300多倍。
数据的编码方式
Facebook想要把数据都放到内存中,prometheus号称单机可处理数百万序列,如果按照业务代码的模式书写,三百万序列在1个小时内要占用多少内存呢?时间戳long值4byte,字符串名称加维度20byte,值算double类型,8byte,总共是32byte,两个小时,假设1分钟一个点,共有120个点。共1.2G内存。仅仅纯数据就占用了1.2G内存。Facebook基于如下两个监控数据的特点,对数据进行了高效压缩,缩小12倍原数据的大小
- 大多数监控数据往往相差固定的时间间隔,而其他监控数据,虽然不是严格固定间隔,也基本接近固定的时间间隔。这个比例在Facebook的监控数据是24:1,即百分之96的数据都是固定间隔上报的
- 大多数监控数据监控的值变化缓慢
基于这两点假设,它们对时间戳和值提出了两种压缩算法
时间戳
对时间戳的差值的差值进行存储,压缩空间大小。

先存储这一块的起始时间2015 02:00:00,对于第一个数值2015 02:01:02记录差值62,对下一个值2015 02:02:02,其的差值是60,差值的差值是60-62=-2,只存储-2即可,这样子大大节约了存储时间戳的空间
监控值
监控值采用异或的手法进行压缩,会得到0很多的二进制串,再通过合理的编码,降低总字节数。根据论文,有超过一半的数据相较上一个值没什么变化,使用一个字节即可存储

那么这样一个block里面应该存储多久的数据呢?这是一个权衡,如果存储很久的数据,则每次查询都需要查询出很large的值,才能获得结果,如果存储数据较短,则难以达到很高的压缩比。最终他们选择了两小时。

对于普罗里的指标名称及维度,在普罗里,一个指标名称加上一组维度称为一个时间序列,Gorilla论文并没有提及维度的概念,仅仅使用名称。这块普罗实际和Gorilla都通过码表的方式,通过将字符串映射为一个longId,来大大降低存储的字节数。
对于普罗的查询流程,是 指标名称+维度=》一组时间序列,然后分别查询其中的值。Gorilla自身没有包装这一个流程,需要客户端组网自己想要查询的时间序列列表。
基于时序监控系统里的,新数据比旧数据关键,Gorilla也会将旧数据落盘。
Gorilla的高可用
单机可靠性
Facebook调查了自己之前的监控系统,发现百分之85以上请求都只查询了26个小时以内的数据。在Gorilla的第一版中,他们决定只支持26个小时数据的查询,将2小时的数据放在内存中。超过2小时的数据,会存储在高可用磁盘上,如GlusterFs、HDFS等。2小时以内的数据,有一个log用来做重启时恢复数据来保证可靠性。这样就保证了单机重启的可靠性
注:这个日志不保证能恢复所有的数据,允许异常场景下有数据丢失
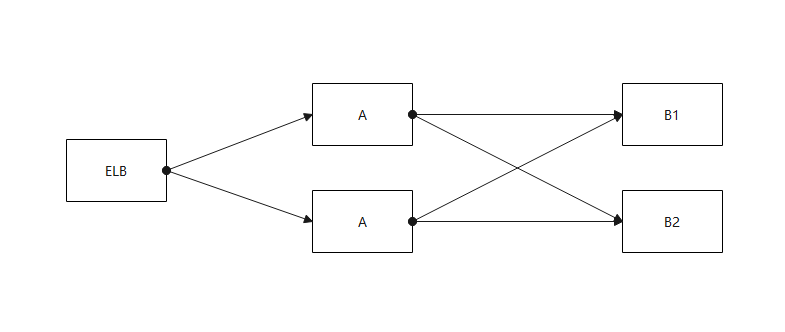
Region宕机的可靠性
对于每一个Gorilla,都会主备部署一个对等的位于不同Region的实例,这两个实例都会存储数据,但数据并不完全一致。对于用户来说,他们接入距离他们最近的Gorilla实例。一旦其中一个Gorilla宕机,另一个Gorilla将会接管它的工作。为了保证数据的准确,待其恢复后26小时(拥有了它该拥有的全量数据),才可以接受业务请求。
Gorilla的扩展
Gorilla选择了水平扩展的方式,根据指标名做分区,分区到不同的主备Gorilla
论文还提到了一些其他有用的信息
监控时序数据的特点
写请求占大多数
读请求很少,人工读取,或者一些自动化告警系统
注重状态的变化
内存突然上升,乃至于一个指标值的导数突然上升等
监控系统的目标
高可用
出现问题的时候,监控系统和业务系统同时宕机是什么体验?是一把黑的体验。
低延迟
可容错
容忍单点故障灯
可扩展
随着业务系统的扩展,监控系统也需要扩展













